Keresés


Toplista

Toplista
  • betöltés...

Magántanár kereső

Ha szívesen korrepetálnál, hozd létre magántanár profilodat itt.
Ha diák vagy és korrepetálásra van szükséged, akkor regisztrálj be és írd meg itt, hogy milyen tantárgyban!

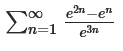
Valaki levezetné hogyan kapjuk meg a sor összegének értékét?

338
Csatoltam képet.
Jelenleg 1 felhasználó nézi ezt a kérdést.
0
Felsőoktatás / Matematika

Válaszok

2
a megoldás:e/((-1 + e) (1 + e)), csak a levezetés nem megy
0

Csatoltam képet.
1