Keresés


Toplista

Toplista
  • betöltés...

Magántanár kereső

Ha szívesen korrepetálnál, hozd létre magántanár profilodat itt.
Ha diák vagy és korrepetálásra van szükséged, akkor regisztrálj be és írd meg itt, hogy milyen tantárgyban!

Matematika SOS

350
Képet csatoltam.
Jelenleg 1 felhasználó nézi ezt a kérdést.
0
Általános iskola / Matematika

Válaszok

1
Szia!

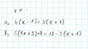
4(x-1)=5(x+1)
4 x-4= 5 x+5/-4 x
-4= x+5/-5
-9=x

5(2 x+3)+7= 12-5(x+1)
10 x+15+7= 12-5 x-1
10 x+22= 11-5 x/+5 x
15 x+22= 11/-22
15 x= -11/:15
x= -11/15
0