Keresés


Toplista

Toplista
  • betöltés...

Magántanár kereső

Ha szívesen korrepetálnál, hozd létre magántanár profilodat itt.
Ha diák vagy és korrepetálásra van szükséged, akkor regisztrálj be és írd meg itt, hogy milyen tantárgyban!

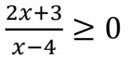
Matek segítsetek

355
Csatoltam képet!

Valós számok halmazán kell megoldani
Jelenleg 1 felhasználó nézi ezt a kérdést.
0
Középiskola / Matematika

Válaszok

1
K:
`x-4 ne 0`
`x ne 4`

`(2x+3)/(x-4) \le 0`

`2x+3 \le 0`

`2x \le -3`

`x \le -3/2`

Illetve:
`x-4 \le 0`
`x \le 4`

Tehát:
`x \le 3/2` vagy `x > 4`
Módosítva: 5 éve
0