Keresés


Toplista

Toplista
  • betöltés...

Magántanár kereső

Ha szívesen korrepetálnál, hozd létre magántanár profilodat itt.
Ha diák vagy és korrepetálásra van szükséged, akkor regisztrálj be és írd meg itt, hogy milyen tantárgyban!

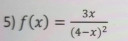
Kerlek segits sos!

463
A függvényt kéne deriválni, nagyon hálás lennék ha segítenél benne!
Jelenleg 1 felhasználó nézi ezt a kérdést.
0
Középiskola / Matematika

Válaszok

1
3·(4-x)²-3x·2·(4-x)·(-1)/(4-x)⁴
1