Keresés


Toplista

Toplista
  • betöltés...

Magántanár kereső

Ha szívesen korrepetálnál, hozd létre magántanár profilodat itt.
Ha diák vagy és korrepetálásra van szükséged, akkor regisztrálj be és írd meg itt, hogy milyen tantárgyban!

Másodfokú függvények

Főoldal » Középiskola » Matematika
516
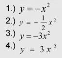
Hogyan kell ábrázolni ezeket a függvényeket? Az elsőt tudom, de a másodikat meg a többit már fogalmam sincs, még a neten sem találtam meg sehol sem.
Jelenleg 1 felhasználó nézi ezt a kérdést.
0
Középiskola / Matematika

Válaszok

1
Csatoltam képeket. Az x helyére próbálj meg behelyettesíteni számokat. Kezdd mindig a 0-val és haladj egyesével tehát: 1.2.3. A behelyettesítéssel kapott érték fogja jelölni az y koordinátát. Maga a behelyettesített érték pedig az x koordinátát jelzi. Egyébként a Geogebra program sokat tud segíteni ennek a megértését.
Módosítva: 5 éve
0