Keresés


Toplista

Toplista
  • betöltés...

Magántanár kereső

Ha szívesen korrepetálnál, hozd létre magántanár profilodat itt.
Ha diák vagy és korrepetálásra van szükséged, akkor regisztrálj be és írd meg itt, hogy milyen tantárgyban!

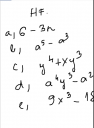
Matematika 9.o.

256
Valaki tudna ebben segíteni? Előre is köszönöm!
Jelenleg 1 felhasználó nézi ezt a kérdést.
Matematika, sos, Középiskola
0
Középiskola / Matematika

Válaszok

1
Csatoltam képet.
0