Keresés


Toplista

Toplista
  • betöltés...

Magántanár kereső

Ha szívesen korrepetálnál, hozd létre magántanár profilodat itt.
Ha diák vagy és korrepetálásra van szükséged, akkor regisztrálj be és írd meg itt, hogy milyen tantárgyban!

Matek

296
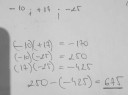
A 16. Feladat kellene
Jelenleg 1 felhasználó nézi ezt a kérdést.
0
Általános iskola / Matematika

Válaszok

1
Csatoltam képet.
1