Keresés


Toplista

Toplista
  • betöltés...

Magántanár kereső

Ha szívesen korrepetálnál, hozd létre magántanár profilodat itt.
Ha diák vagy és korrepetálásra van szükséged, akkor regisztrálj be és írd meg itt, hogy milyen tantárgyban!

Gyöktényezős alak (matek)

256
Sziasztok!
SOS matek segítséget szeretnék kérni.
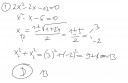
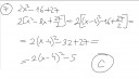
(Csatolt képen a feladatok.)
A megoldás menete is fontos.
Segítségüket előre is köszönöm!
Jelenleg 1 felhasználó nézi ezt a kérdést.
sos, matek, gyöktényezők, gyöktényezősalak, sürgős
0
Középiskola / Matematika

Válaszok

1
Csatoltam képet.
1