Keresés


Toplista

Toplista
  • betöltés...

Magántanár kereső

Ha szívesen korrepetálnál, hozd létre magántanár profilodat itt.
Ha diák vagy és korrepetálásra van szükséged, akkor regisztrálj be és írd meg itt, hogy milyen tantárgyban!

Kamatos kamat

285
Valaki tudna segíteni?
Feladat
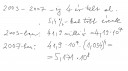
A 2003-at követő években, egészen 2007-tel bezárólag évente átlagosan 5,4%-kal
gyártottak több autót, mint a megelőző évben. 2003-ban összesen 41,9 millió autó
készült. Hány autót gyártottak a világon 2007-ben?
Jelenleg 1 felhasználó nézi ezt a kérdést.
0
Középiskola / Matematika

Válaszok

1
Csatoltam képet.
0