Keresés


Toplista

Toplista
  • betöltés...

Magántanár kereső

Ha szívesen korrepetálnál, hozd létre magántanár profilodat itt.
Ha diák vagy és korrepetálásra van szükséged, akkor regisztrálj be és írd meg itt, hogy milyen tantárgyban!

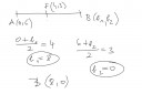
Sziasztok valaki tudna segíteni?

229
Csatoltam képet.
Jelenleg 1 felhasználó nézi ezt a kérdést.
matek
0
Középiskola / Matematika

Válaszok

1
Csatoltam képet.
0