Keresés


Toplista

Toplista
  • betöltés...

Magántanár kereső

Ha szívesen korrepetálnál, hozd létre magántanár profilodat itt.
Ha diák vagy és korrepetálásra van szükséged, akkor regisztrálj be és írd meg itt, hogy milyen tantárgyban!

Kritikus határértékszámítás L' Hospital szabállyal

323
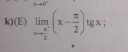
Nevezetesen 2.3 k) feladathoz szeretném ha lépésről lépésre elmagyarázná valaki.
Jelenleg 1 felhasználó nézi ezt a kérdést.
Határérték számítás
0
Felsőoktatás / Matematika

Válaszok

1
Szerintem lásd képmelléklet
1