Keresés


Toplista

Toplista
  • betöltés...

Magántanár kereső

Ha szívesen korrepetálnál, hozd létre magántanár profilodat itt.
Ha diák vagy és korrepetálásra van szükséged, akkor regisztrálj be és írd meg itt, hogy milyen tantárgyban!

Matek

511
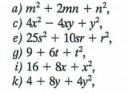
Adjuk meg a kéttagú kifejezést, amelynek negyzete:
Segítség
Jelenleg 1 felhasználó nézi ezt a kérdést.
0
Középiskola / Matematika

Válaszok

1
Csatoltam képet. Érdemes megnézned ezt a videómat.
https://www.youtube.com/watch?v=ahupuSFJyjQ&t=29s

Módosítva: 5 éve
1