Keresés


Toplista

Toplista
  • betöltés...

Magántanár kereső

Ha szívesen korrepetálnál, hozd létre magántanár profilodat itt.
Ha diák vagy és korrepetálásra van szükséged, akkor regisztrálj be és írd meg itt, hogy milyen tantárgyban!

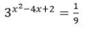
Matek rövid exponenciális egyenlet

318
Csak ez a rövid egyenlet lenne. Elkezdtem, de nem jön ki gyök alatt jó eredmény...
Jelenleg 1 felhasználó nézi ezt a kérdést.
exponenciális, egyenlet
0
Középiskola / Matematika

Válaszok

4
Nekiálltam
0

Csatoltam képet.
0

ha a telefonodra letöltöd a photomath alkalmazást akkor beolvassa és kiadja a helyes megoldást meg a lépéseket is levezeti
0

Csatoltam képet.
1