Keresés


Toplista

Toplista
  • betöltés...

Magántanár kereső

Ha szívesen korrepetálnál, hozd létre magántanár profilodat itt.
Ha diák vagy és korrepetálásra van szükséged, akkor regisztrálj be és írd meg itt, hogy milyen tantárgyban!

Kifejezések

260
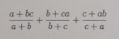
Határozd meg, hogy milyen értékeket vehet fel a csatolt kifejezés, ha a, b, c olyan pozitív valós számok, melyek összege 1.
Jelenleg 1 felhasználó nézi ezt a kérdést.
0
Középiskola / Matematika

Válaszok

3
Nekiálltam, próbálkozok.
1

Mindig 2 lesz, már "csak" le kell vezetni.

a=b=c=1/3⇒2/3 + 2/3 + 2/3 =2
a=1/11 b=3/11 c=7/11⇒8/11 + 4/11 + 10/11 = 22/11 = 2
a=1/2 b=c=1/4 ⇒3/4 + 3/4 + 2/4 = 8/4 = 2
1

Végül csak sikerült.
a+b+c=1 ⇒c=1-a-b - t helyettesítsük be c helyére.
Módosítva: 5 éve
1