Keresés


Toplista

Toplista
  • betöltés...

Magántanár kereső

Ha szívesen korrepetálnál, hozd létre magántanár profilodat itt.
Ha diák vagy és korrepetálásra van szükséged, akkor regisztrálj be és írd meg itt, hogy milyen tantárgyban!

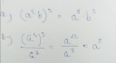
Hozzuk egyszerűbb alakra a következő kifejezéseket!

502
Csatoltam képet
Jelenleg 1 felhasználó nézi ezt a kérdést.
0
Középiskola / Matematika

Válaszok

1
Csatoltam képet. Ebben a videóban magyarázom. :)
https://www.youtube.com/watch?v=9f-LBqvV14o&t=38s
Módosítva: 5 éve
1