Keresés


Toplista

Toplista
  • betöltés...

Magántanár kereső

Ha szívesen korrepetálnál, hozd létre magántanár profilodat itt.
Ha diák vagy és korrepetálásra van szükséged, akkor regisztrálj be és írd meg itt, hogy milyen tantárgyban!

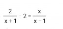
Másodfokú egyenlet

347
A képeket csatoltam
Jelenleg 1 felhasználó nézi ezt a kérdést.
0
Középiskola / Matematika

Válaszok

2
készítem
0

Csatoltam képet. Ha segített a válaszom, kérlek jelöld megoldásnak.
Módosítva: 5 éve
0