Keresés


Toplista

Toplista
  • betöltés...

Magántanár kereső

Ha szívesen korrepetálnál, hozd létre magántanár profilodat itt.
Ha diák vagy és korrepetálásra van szükséged, akkor regisztrálj be és írd meg itt, hogy milyen tantárgyban!

SZTE matematika 1

414
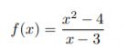
Tekintsük az (KÉP) függvényt. Adjuk meg az értelmezési tartományát, vizsgálja ez alapján a nevezetes" limeszeit. Vizsgáljuk továbbá a monotonitását, szélsőértékét.
Jelenleg 1 felhasználó nézi ezt a kérdést.
0
Felsőoktatás / Matematika

Válaszok

4
Azt kérdezd meg, amit tényleg nem tudsz!
0

Ebben a videómban is egy törtfüggvény elemzését magyarázom. Megtisztelsz, ha megnézed.
https://www.youtube.com/watch?v=nCV9k-ICOpM&list=PLwXxAxAEOlGgLDpzx1zVeSEOEFx257bDn&index=1
1

Csatoltam képet.
1

Csatoltam képet.
Módosítva: 5 éve
1