Keresés


Toplista

Toplista
  • betöltés...

Magántanár kereső

Ha szívesen korrepetálnál, hozd létre magántanár profilodat itt.
Ha diák vagy és korrepetálásra van szükséged, akkor regisztrálj be és írd meg itt, hogy milyen tantárgyban!

Matek

295
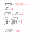
⁷Végezze el:
³√-125=
⁴√3⁴=
⁴√(-3)⁴=
⁴√16/81=
⁹√(3x)²⁷=
Jelenleg 1 felhasználó nézi ezt a kérdést.
0
Középiskola / Matematika

Válaszok

2
Készítem
0

Csatoltam képet.
0