Keresés


Toplista

Toplista
  • betöltés...

Magántanár kereső

Ha szívesen korrepetálnál, hozd létre magántanár profilodat itt.
Ha diák vagy és korrepetálásra van szükséged, akkor regisztrálj be és írd meg itt, hogy milyen tantárgyban!

Egyenletrenszer

269
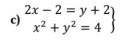
Old meg az egyenleteket és az egyenletrendszert, majd ábrazold Geogebrával.
Jelenleg 1 felhasználó nézi ezt a kérdést.
Egyenletrenszer
0
Felsőoktatás / Matematika

Válaszok

1
Az előző 2 feladatodban leírtam, hgoy az egyik egy egyenes, a másik egy kör...

Két metszéspontja van: (2,0) és (1.2,-1.6)

Geogebra kiírja, de ha ki akarod számolni, akkor fejezd ki vagy az x-et vagy az y-t az első egyenletből. (Ezt meg is tettem a korábbi kérdésednél)
és helyettesítsd be a másodikba. Utána oldd meg a másodfokú egyenletet és helyettesíts vissza, hogy kijöjjön a másik ismeretlen értéke is.
1