Keresés


Toplista

Toplista
  • betöltés...

Magántanár kereső

Ha szívesen korrepetálnál, hozd létre magántanár profilodat itt.
Ha diák vagy és korrepetálásra van szükséged, akkor regisztrálj be és írd meg itt, hogy milyen tantárgyban!

Segítséget szeretnék kérni Tőletek!

320
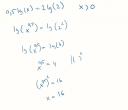
Sziasztok. Segítséget szeretnék kérni ebben az egyenletben, mert azon az órán sajnos nem voltam. Íme az egyenlet: 0,5lgx=2lg2 . Legalábbis segítséget szeretnék kérni, hogy ,hogy kell neki állni, egy ilyen feladatnak. Előre is köszönöm!
Jelenleg 1 felhasználó nézi ezt a kérdést.
logaritmus, sos
0
Középiskola / Matematika

Válaszok

1
A logaritmusazonosságokat kell használni. Az x>0 feltétel azért szükséges, mert nem lehet 1-nél kisebb szám a logaritmuson belül. Ezután átalakítjuk úgy az egyenletet, hogy mindkét oldalon csak logaritmus legyen, így azt elhagyhatjuk. Ezután ki kell használnunk a hatványazonosságokat is. Ha összeszorozzuk a 2-t a 0,5-tel akkor, akkor X-et kapjuk.
1