Keresés


Toplista

Toplista
  • betöltés...

Magántanár kereső

Ha szívesen korrepetálnál, hozd létre magántanár profilodat itt.
Ha diák vagy és korrepetálásra van szükséged, akkor regisztrálj be és írd meg itt, hogy milyen tantárgyban!

!!!SOS!!! Kéne egy kis segítség!

309
Csatoltam képet.
Jelenleg 1 felhasználó nézi ezt a kérdést.
0
Általános iskola / Matematika

Válaszok

3
Csatoltam képet.
1

Csatoltam képet.
0

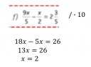
Csatoltam képet. ELLENŐRZÉS!!!
Kérlek jelöld megoldásnak!
A jobb oldal 13/5 közönséges törtre váltva! Ezért lett 10 szorzással belőle a 26
Módosítva: 5 éve
0