Keresés


Toplista

Toplista
  • betöltés...

Magántanár kereső

Ha szívesen korrepetálnál, hozd létre magántanár profilodat itt.
Ha diák vagy és korrepetálásra van szükséged, akkor regisztrálj be és írd meg itt, hogy milyen tantárgyban!

Integrálszámítás

407
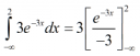
A kérdésem az lenne, hogy a képen látható feladatot jól kezdtem-e el és valaki be tudná-e fejezni?
Jelenleg 1 felhasználó nézi ezt a kérdést.
integrál
0
Felsőoktatás / Matematika

Válaszok

1
Eddig OK.
kell még :
(fv 2 helyen ) -( fv minusz végtelen helyen)
fv = integrál , vagyis -1 szer e -ad (-3x)
Írtam üzenetet.
Imprópius integrálnál határérték is kell.
Érdemes
1- P8 x nagyobb 2 ) vel számolni.
Lásd üzenet.
Módosítva: 5 éve
0