Keresés


Toplista

Toplista
  • betöltés...

Magántanár kereső

Ha szívesen korrepetálnál, hozd létre magántanár profilodat itt.
Ha diák vagy és korrepetálásra van szükséged, akkor regisztrálj be és írd meg itt, hogy milyen tantárgyban!

Matematika feladatokban szeretnék segítséget kérni! A témakör algebra

497
1.Azonos márkájú karóráért, ébresztőóráért és stopperóráért összesen 18 600 Ft-ot kell fizetni. Az ébresztőóra 600 Ft-tal drágább a stoppernél, és éppen hatodrésze az ára, mint a karórának. Mennyibe kerül a stopperóra? *
2.A többit csatoltam

A segítséget előre is köszönöm!
Jelenleg 1 felhasználó nézi ezt a kérdést.
Alge
0
Általános iskola / Matematika

Válaszok

1
1.feladat
Stopper óra: x
Ébresztő óra: x+600
Karóra: 6(x-600)
Összesen:
2x+600+6x-3600=18600
8x-3000=18600
8x=21600
x=2700
Így 2700 forint egy stopper óra

4x-7-15=10
4x=32
x=8

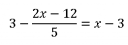
15-2x+12=5x-15
27-2x=5x-15
27=7x-15
42=7x
x=6

5.feladat
A,
(1/4)-2=-7/4
B,
-6+3=-3, de ennek az abszolút értéke, ezért 3
C,
2,5-16=-13,5



















0