Keresés


Toplista

Toplista
  • betöltés...

Magántanár kereső

Ha szívesen korrepetálnál, hozd létre magántanár profilodat itt.
Ha diák vagy és korrepetálásra van szükséged, akkor regisztrálj be és írd meg itt, hogy milyen tantárgyban!

Matek tz

396
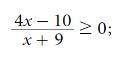
Gyors segítség kellene!
Képeket mellékeltem
(remélem jól)
Jelenleg 1 felhasználó nézi ezt a kérdést.
0
Középiskola / Matematika

Válaszok

3
b) 6x+4/5-2+5x/3=2
18x+12/15-10+25x/15=2 /*15
18x+12-10+25x=30
2+43x=30 /-2
43x=28 /:43
X~0,65

c) (6x+3)-3(3x-4)=5(x-4)-(x+1)
6x+3-9x+12=5x-20-x-1
-3x+15=4x-21 /+3x
15=7x-21/+21
36=7x /:7
5,14~x

Ennyit tudok segíteni.
1

Remélem el tudod olvasni. Ez az 50-es
1

Szerintem ez így helyes, de nézd át! Ennek nincs száma.
1