Ha szívesen korrepetálnál, hozd létre magántanár profilodat itt.
Ha diák vagy és korrepetálásra van szükséged, akkor regisztrálj be és írd meg itt, hogy milyen tantárgyban!
Jelenleg 1 felhasználó nézi ezt a kérdést.
logika, egyenlet
0
Felsőoktatás / Matematika
Válaszok
2
Ákos2
megoldása
vegyünk fel egy új függvényt g(x)=f(x)/x Ezt vissza kell helyettesíteni, így:
x*y*g(xy)=x*y*(g(x)+g(y)) Ezen a ponton x*y-al lehet egyszerűsíteni:
g(xy)=g(x)+g(y)
Ezen a ponton tételezzük fel, hogy x és y egész számok, ebben az esetben az alábbi prímkitevős felbontás írható fel:
g(n)=A*v(n)+B*u(n) ezt vissza lehet értelmezni f(n)= n*(A*v(n)+B*u(n)).
Itt kell felhasználni az ismert értékeket, ugyanis:
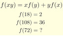
18=(2^1)*(3^2)
108=(2^2)*(3^3)
72= (2^3)*(3^2)
Itt A= 2^x hatványkitevő és B=3^y-ikon hatványkitevő, amiből az alábbi egyenleteket kapjuk:
18(A+2B)=2
108(2A+3B)= 36.
Ennek a kétismeretlenes egyenletrendszernek a megoldásával nem húzom az időt, A=1/3, B=-1/9
gyula205:
A bizonyítás menete nem teljesen világos a számomra. Szerintem nem prímkitevős, hanem 2 illetve 3 alapú egész kitevős hatványokkal van dolgunk. A g(n) függvény kifejtésében nem látszik világosan hogyan függnek v és u függvények n-től?
3 hónapja0
Ákos2:
Prímkitevős alatt azt értettem, hogy az egyes egzakt értékeknek az adott behelyettesítési értéken a prímtényezős felbontásának az egyes komponensek (2,3 ebben az esetben) kell venni a hatványkitevőit.
3 hónapja0
Ákos2:
g(n)=A*v(n)+B*v(n) pedig egy általános alak, ez már inkább elmélet, de a lényeg az, hogy a g(n) függvény mindig felbontható a prímtényezős hatványkitevők felbontása szerint. Ebben a feladatban az egyetlen "kacifántos" rész az hogy trükközni kell az f(x)/x=g(x) és ennek a visszalakításával. Remélem így tisztább
3 hónapja0
gyula205:
Például a 11-edik sorban az v(18)=1 és u(18)=2 vagy a 12-edik sorban v(108)=2 és u(108)=3. Miért? Inkább nem arról van szó, hogy az f(x) értelmezési tartományában `2^xi*3^eta` alakú egész számok vannak?
3 hónapja0
gyula205:
Ahol `xi` és `eta` egész szám. A kapott f(72)=56 végeredmény jó, de egyenlőre hamis vágányon vagyunk.
3 hónapja0
gyula205:
Triviálisan következnek, hogy `f(1)=0`; `f(4)=4*f(2)`; `f(6)=2*f(3)+3*f(2)`; `f(9)=6*f(3)`. Az egyenletrendszer felírását `f(2)` és `f(3)`-ra javaslom.
3 hónapja0
gyula205:
Fogalmam sincs, hogy számoltad ki az együtthatóidat, az így kapott egyenletrendszer megoldása elvisz a megoldáshoz. Nem muszáj "trükközni " a megoldáshoz. Akkor kapunk egy másik megoldást is. Kövesd tovább a fenti gondolatmenetet. `f(12)=12*f(2)+4*f(3)`, `f(18)=6*f(3)+3*f(6)=12*f(3)+9*f(2)=2` ez az egyik egyenlet; `f(108)=6*f(18)+18*f(6)=108*(f(2)+f(3))=36` ez a másik egyenlet.
3 hónapja0
gyula205:
Az egyenletrendszer megoldása `f(2)=2/3` és `f(3)=-1/3`. Befejezésül `f(72)=4*f(18)+18*f(4)=4*2+18*4*(2/3)=8+48=56`.
3 hónapja0
gyula205
válasza
A fenti bizonyításban van egy kis elírás, mert `A=1/3` nem írható fel 2 hatványaként. A 10-edik sorban `A=g(2)` és `B=g(3)`. Tehát `g(2) `és `g(3)` lineáris kombinációjával fejezhető ki `g(18)` és `g(108)` is. Az ehhez vezető út lett itt "elbagatelizálva", ami nem annyira triviális. `g(4)=2*g(2)`; `g(6)=g(2)+g(3)`; `g(18)=g(3)+g(6)=1*g(2)+2*g(3)=A+2B`, ami a bizonyítás 11-edik sora.
`g(36)=2*g(6)=2(g(2)+g(3)`; `g(108)=g(3)+g(36)=2*g(2)+3*g(3)=2A+3B`, ami a bizonyítás 12-edik sorában olvasható.
Az egyenletrendszer megoldása (`A=1/3 és B=-1/9`) után le kell vezetni `g(72)` együtthatóit is.
`g(72)=g(2)+g(36)=3*g(2)+2*g(3)=3A+2B`. Szerintem így lesz érthetőbb a gyengébbek számára is a fenti megoldás.
Ajánlanám az olvasók számára, hogy a fenti megoldás komment részében írtam egy másik megoldásról is, ami nem használ fel semmilyen trükköt.