Keresés


Toplista

Toplista
  • betöltés...

Magántanár kereső

Ha szívesen korrepetálnál, hozd létre magántanár profilodat itt.
Ha diák vagy és korrepetálásra van szükséged, akkor regisztrálj be és írd meg itt, hogy milyen tantárgyban!

Sorozatok

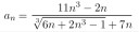
250
Adja meg a sorozat első 3 tagjának összegét!
Jelenleg 1 felhasználó nézi ezt a kérdést.
0
Felsőoktatás / Matematika

Válaszok

1
Az összesnél ugyan azt kell csinálni igazából. Fogod mindíg a sorozat elemének a számát behelyettesíten az n helyére és kiszámolod. Nem tudom mikorra kell de nekem most ennyire volt időm. Remélem tudod folytatni ezen az elven a többit is.




















A feladatot fehér színnel oldottam meg amennyiben megoldásnak jelölöd a válaszom elérhetővé teszem számodra a megoldást. Egyéb esetben természetesen nem áll módomban közzétenni. Előre is köszönöm :)
Módosítva: 12 hónapja
1