Keresés


Toplista

Toplista
  • betöltés...

Magántanár kereső

Ha szívesen korrepetálnál, hozd létre magántanár profilodat itt.
Ha diák vagy és korrepetálásra van szükséged, akkor regisztrálj be és írd meg itt, hogy milyen tantárgyban!

Sorozatok

227
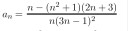
Adja meg a sorozat első 3 tagjának összegét!
Jelenleg 1 felhasználó nézi ezt a kérdést.
0
Felsőoktatás / Matematika

Válaszok

1
`a_1=(n-(n^2+1)*(2n+3))/(n*(3n-1)^2)=(1-(1^2+1)*(2*1+3))/(1*(3*1-1)^2)=-9/4`


`a_2=(n-(n^2+1)*(2n+3))/(n*(3n-1)^2)=(2-(2^2+1)*(2*2+3))/(2*(3*2-1)^2)=-33/50`


`a_3=(n-(n^2+1)*(2n+3))/(n*(3n-1)^2)=(3-(3^2+1)*(2*3+3))/(3*(3*3-1)^2)=-29/64`


`S_3=a_1+a_2+a_3=-9/4+(-33/50)+(-29/64)=color(red)(-5381/1600)`


A feladatot fehér színnel oldottam meg amennyiben megoldásnak jelölöd a válaszom elérhetővé teszem számodra a megoldást. Egyéb esetben természetesen nem áll módomban közzétenni. Előre is köszönöm :)
Módosítva: 12 hónapja
1