Keresés


Toplista

Toplista
  • betöltés...

Magántanár kereső

Ha szívesen korrepetálnál, hozd létre magántanár profilodat itt.
Ha diák vagy és korrepetálásra van szükséged, akkor regisztrálj be és írd meg itt, hogy milyen tantárgyban!

Matek házi

362
Csatoltam képet.
Jelenleg 1 felhasználó nézi ezt a kérdést.
0
Középiskola / Matematika

Válaszok

2
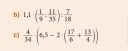
`1","1*(1/9-:11/35)-:7/18=1","1*(1/9*35/11)-:7/18=1","1*35/99-:7/18=11/10*35/99-:7/18=`
`=7/18-:7/18=7/18*18/7=1`

`4/34*(6,5-2*(17/6+13/4))=4/34*(13/2-2*(34+39)/12)=4/34*(13/2-73/6)=`
`=4/34*(39-73)/6=4/34*(-34/6)=-2/3`
0

2. a)
`(8 - 8 * 7/4) - (5.5 - 11/2) = (32/4 - 56/4) - (11/2 - 11/2) = (32 - 56)/4 - (11 - 11)/2 = -24/4 = -6`

Mivel `11/2 = 5.5`, a második zárójelbeli rész értéke `0`, ami a kivonásra nézve semleges, tehát elhagyható. Így az első zárójel a teljes megmaradó részt közrezárja, tehát nyilvánvalóan semmi jelentőséggel sem bír. Azaz:

`(8 - 8 * 7/4) - (cancel(5.5) - cancel(11/2)) = 8 - 8 * 7/4 = 32/4 - 56/4 = (32 - 56)/4 = -24/4 = -6`
0