Keresés


Toplista

Toplista
  • betöltés...

Magántanár kereső

Ha szívesen korrepetálnál, hozd létre magántanár profilodat itt.
Ha diák vagy és korrepetálásra van szükséged, akkor regisztrálj be és írd meg itt, hogy milyen tantárgyban!

Deriválás

318
A deriválásban szeretnék segítséget kérni, hogy mi a menete az ilyen fajtának. Köszönöm!
Jelenleg 1 felhasználó nézi ezt a kérdést.
0
Középiskola / Matematika

Válaszok

1
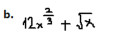
Ez itt egy összeg, összeg deriváltja a deriváltak összege.

`(12x^(2/3))'` = `12*2/3*x^(2/3-1)` = `8*x^(-1/3)` = `8/root(3)(x)`

`(root()(x))'` = `(x^(1/2))'` = `1/2*x^(1/2-1)` = `1/2*x^(-1/2)` = `1/(2*root()(x))`

Az eredmény a kettő összege.
0