Keresés


Toplista

Toplista
  • betöltés...

Magántanár kereső

Ha szívesen korrepetálnál, hozd létre magántanár profilodat itt.
Ha diák vagy és korrepetálásra van szükséged, akkor regisztrálj be és írd meg itt, hogy milyen tantárgyban!

Logaritmus

305
Ezekben lenne szükségem segítségre.
Jelenleg 1 felhasználó nézi ezt a kérdést.
-1
Középiskola / Matematika

Válaszok

1
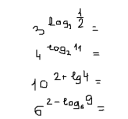
`1.)`

`3^(log_(9)1/2)`

`3^(log_(3^2)1/2)`

`3^(1/2*log_(3)1/2)`

`3^(log_(3)(1/2)^(1/2))`

`color(red)((1/2)^(1/2)=sqrt(1/2)=sqrt(2)/2)`


`2.)`

`4^(log_(2)11)`

`(2^2)^(log_(2)11)`

`2^(2log_(2)11)`

`2^(log_(2)(11^2)`

`color(red)(11^2=121)`


`3.)`

`10^(2+lg4)`

`10^2*10^(lg4)`

`100*4=color(red)(400)`


`4.)`

`6^(2-log_(6)9)`

`(6^2)/(6^(log_(6)9))`

`(36)/(9)=color(red)(4)`
Módosítva: 2 éve
0