Keresés


Toplista

Toplista
  • betöltés...

Magántanár kereső

Ha szívesen korrepetálnál, hozd létre magántanár profilodat itt.
Ha diák vagy és korrepetálásra van szükséged, akkor regisztrálj be és írd meg itt, hogy milyen tantárgyban!

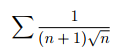
Az alábbi sor konvergens, vagy divergens? Miért?

514
Csatoltam képet.
Jelenleg 1 felhasználó nézi ezt a kérdést.
0
Felsőoktatás / Matematika

Válaszok

1
`1/((n+1)sqrt(n))=1/(n^(3/2)+n^(1/2)) < 1/n^(3/2)`


`sum 1/n^p` mindig konvergens, ha `p>1`, tehát `sum 1/n^(3/2)` konvergens, és emiatt a nála mindig kisebb tagokból álló `sum 1/((n+1)sqrt(n))` is az.
0