Keresés


Toplista

Toplista
  • betöltés...

Magántanár kereső

Ha szívesen korrepetálnál, hozd létre magántanár profilodat itt.
Ha diák vagy és korrepetálásra van szükséged, akkor regisztrálj be és írd meg itt, hogy milyen tantárgyban!

Segitseget kérnék

311
Próbáltam ezt a feladatot megoldani de valahogy a próbálnál nem jött ki jól az eredmény. Nagyon szépen köszönöm előre is a segítséget
Jelenleg 1 felhasználó nézi ezt a kérdést.
0
Általános iskola / Matematika

Válaszok

3
Mindjárt küldöm
0

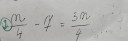
`m/4-7=(3m)/4`

`m-28=3m`

`-2m=28`

`color(red)(m=-14)`
0

Csatoltam képet.
0