Keresés


Toplista

Toplista
  • betöltés...

Magántanár kereső

Ha szívesen korrepetálnál, hozd létre magántanár profilodat itt.
Ha diák vagy és korrepetálásra van szükséged, akkor regisztrálj be és írd meg itt, hogy milyen tantárgyban!

Matematika házi feladat

337
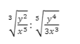
Írjuk fel egyetlen gyökjellel az egyenletet.
Jelenleg 1 felhasználó nézi ezt a kérdést.
0
Középiskola / Matematika

Válaszok

1
`root(3)(y^2/x^5):root(5)(y^4/(3x^3))=root(15)((y^2/x^5)^5):root(15)((y^4/(3x^3))^3)=root(15)(y^10/x^25*(27x^9)/y^12)=color(red)(root(15)(27/(x^16y^2)))`
0