Keresés


Toplista

Toplista
  • betöltés...

Magántanár kereső

Ha szívesen korrepetálnál, hozd létre magántanár profilodat itt.
Ha diák vagy és korrepetálásra van szükséged, akkor regisztrálj be és írd meg itt, hogy milyen tantárgyban!

Sziasztok valaki tudna segíteni matekban

441
Sziasztok holnap dogám lesz és ezt és az ehhez hasonló feladatokat egyáltalán nem értem. Valaki segítene pls
Jelenleg 1 felhasználó nézi ezt a kérdést.
Matematika, 9.osztály
0
Középiskola / Matematika

Válaszok

2
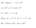
`4x^2+12xy+...` = `(a+b)^2`

`(a+b)^2=a^2+2ab+b^2`

`a^2=4x^2` `rightarrow` `a=2x`

`12xy` = `2*a*b` = `2*2x*b` `rightarrow` `b=3y`

`4x^2+12xy+9y^2` = `(2x+3y)^2`
0

Csatoltam képet.
0