Keresés


Toplista

Toplista
  • betöltés...

Magántanár kereső

Ha szívesen korrepetálnál, hozd létre magántanár profilodat itt.
Ha diák vagy és korrepetálásra van szükséged, akkor regisztrálj be és írd meg itt, hogy milyen tantárgyban!

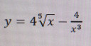
Deriválás levezetése

565
A következő feladat levezetésében kérnék segítséget. Köszönöm.
Jelenleg 1 felhasználó nézi ezt a kérdést.
0
Felsőoktatás / Matematika

Válaszok

1
Azt a deriválási szabályt kell tudni, hogy: `d/(dx)(x^n)=n*x^(n-1)`. Illetve azt, hogy az ötödik gyök 1/5-ödik hatványra emelést jelent. Tehát:

`d/(dx)(4x^(1/5)-4x^-3)=4*1/5*x^(1/5-1)-4*(-3)*x^(-3-1)=4/5x^(-4/5)+12x^-4=4/(5x^(4/5))+12/x^4`
0