Keresés


Toplista

Toplista
  • betöltés...

Magántanár kereső

Ha szívesen korrepetálnál, hozd létre magántanár profilodat itt.
Ha diák vagy és korrepetálásra van szükséged, akkor regisztrálj be és írd meg itt, hogy milyen tantárgyban!

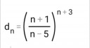
Számítsa ki az alábbi sorozatok határértékét!

373
SoS !
Számítsa ki az alábbi sorozatok határértékét!
Jelenleg 1 felhasználó nézi ezt a kérdést.
Számítsa ki az alábbi sorozatok határértékét!, matek
0
Felsőoktatás / Matematika

Válaszok

1
`d_n=((n+1)/(n-5))^(n+3)` = `((n-5+6)/(n-5))^(n+3)` = `(1+6*1/(n-5))^(n+3)`

Legyen n-5 = a ; ekkor n+3=a+8

`d_n=(1+6*1/a)^(a+8)` = `(1+6/a)^a*(1+6*1/a)^8` = `e^6*1^8` = `e^6`
0