Keresés


Toplista

Toplista
  • betöltés...

Magántanár kereső

Ha szívesen korrepetálnál, hozd létre magántanár profilodat itt.
Ha diák vagy és korrepetálásra van szükséged, akkor regisztrálj be és írd meg itt, hogy milyen tantárgyban!

Valaki segítene kérem?

405
Oldjuk meg a következő egyenletet a pozitív egész számok körében:
Jelenleg 1 felhasználó nézi ezt a kérdést.
0
Középiskola / Matematika

Válaszok

1

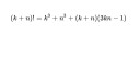
`(k+n)!` = `k^3+n^3+(k+n)*(3kn-1)`

`k^3+n^3` = `(k+n)*(k^2-kn+n^2)`

`(k+n)!` = `(k+n)*(k^2-kn+3kn+n^2-1)` = `(k+n)*(k^2+2kn+n^2-1)` = `(k+n)*((k+n)^2-1)` = `(k+n-1)*(k+n)*(k+n+1)`

`(k+n)!` = `(k+n-1)*(k+n)*(k+n+1)` `color(red)("/:(k+n)")`

`(k+n-1)!` = `(k+n-1)*(k+n+1)` `color(red)("/:(k+n-1)")`

`(k+n-2)!` = `k+n+1`

k+n =x

`(x-2)!`=`x+1` (kis egész számot kell keresni)

x = 5

k+n = 5

Megoldások a (1,4);(2,3);(3,2);(4,1) számpárok.
1