Keresés


Toplista

Toplista
  • betöltés...

Magántanár kereső

Ha szívesen korrepetálnál, hozd létre magántanár profilodat itt.
Ha diák vagy és korrepetálásra van szükséged, akkor regisztrálj be és írd meg itt, hogy milyen tantárgyban!

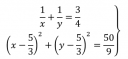
Oldd meg az alábbi egyenletrendszert!

343
Oldd meg az alábbi egyenletrendszert!
Csatoltam fotót
Jelenleg 1 felhasználó nézi ezt a kérdést.
matek, Egyenletrendszer, sos
0
Középiskola / Matematika

Válaszok

1
Felt: x,y `ne` 0

I. Közös nevező és keresztbeszorzás után:

4(x+y) = 3xy

4x+4y = 3xy

4x = 3xy-4y = y(3x-4)

y = `(4x)/(3x-4)` (`x ne 4/3`)

II.

`x^2-10/3*x+cancel(25/9)+y^2-10/3y+cancel(25/9)=cancel(50/9)`

`x^2+y^2-10/3*(x+y)=0`

`x^2+y^2=10/3*(x+y)`

`(x^2+y^2)/(x+y)=10/3` *

I. `(x+y)/(x*y)=3/4` `color(red)(/:2)`

`(x+y)/(2xy)` = `3/8` `rightarrow` `(2xy)/(x+y)` = `8/3` **

* + ** :

`(x^2+y^2+2xy)/(x+y)` = `8/3+10/3`

`(x+y)^2/(x+y)=6`

x+y = 6

y = `(4x)/(3x-4)`

`x+(4x)/(3x-4)=6` /szorzunk a nevezővel

`x(3x+4)+4x=6(3x-4)`

`3x^2-4x+4x=18x-24`

`3x^2-18x+24=0`

`x^2-6x+8=0` Megoldóképlet vagy szorzattá alakítás:

`(x-2)(x-4)` = 0

`x_1` = 2 `rightarrow` `y_1=(4*2)/(3*2-4)` = `8/2` = 4

`x_2` = 4 `rightarrow` `y_2=(4*4)/(3*4-4)` = `16/8` = 2

Megoldások: (2;4) és (4;2)

Biztos van egyszerűbb is, elsőre ez ugrott be.
2