Keresés


Toplista

Toplista
  • betöltés...

Magántanár kereső

Ha szívesen korrepetálnál, hozd létre magántanár profilodat itt.
Ha diák vagy és korrepetálásra van szükséged, akkor regisztrálj be és írd meg itt, hogy milyen tantárgyban!

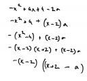
Az alábbi határérték kiszámolásánál a számlálóban hogyan lett kiemelhető (x-2)?

341
Meg esetleg ha valaki tudna tanácsot adni, hogy milyen trükkel alakítható úgy az egyenlet, hogy kivarázsolható legyen pl egy ilyen x-2, az nagyon boldoggá tenne. Van amire sikerül egyedül rájönnöm, de itt most ezzel 20 perc után sehova se jutottam.
Jelenleg 1 felhasználó nézi ezt a kérdést.
határérték
0
Felsőoktatás / Matematika

Válaszok

1
Igazából nincs trükk, megpróbálsz kiemelni mindent, amit csak tudsz, azzal a "céllal", hogy mindenképpen legyen benne egy `(x-2)`-es tag.
Az utolsó lépésnél figyelj arra, hogy `-(x-2)`-t emelsz ki, tehát az a előjele negatív lesz
1