Keresés


Toplista

Toplista
  • betöltés...

Magántanár kereső

Ha szívesen korrepetálnál, hozd létre magántanár profilodat itt.
Ha diák vagy és korrepetálásra van szükséged, akkor regisztrálj be és írd meg itt, hogy milyen tantárgyban!

Matematika sos

349
Sziasztok csatoltam képet tudnátok nekem segíteni holnap ebből lesz dolgozat
Jelenleg 1 felhasználó nézi ezt a kérdést.
sos, Matematika
0
Középiskola / Matematika

Válaszok

3
1.feladat
Megoldása
0

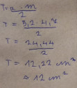
2.feladat ( megoldása )
0

3.feladat

Megoldása :
0