Keresés


Toplista

Toplista
  • betöltés...

Magántanár kereső

Ha szívesen korrepetálnál, hozd létre magántanár profilodat itt.
Ha diák vagy és korrepetálásra van szükséged, akkor regisztrálj be és írd meg itt, hogy milyen tantárgyban!

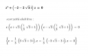
Határozza meg a z 3+ (−2−2 √ 3i)z = 0 egyenlet komplex gyökeinek algebrai alakját!

330
komplex számok
Jelenleg 1 felhasználó nézi ezt a kérdést.
komplex, számok, analízis
0
Felsőoktatás / Matematika

Válaszok

1
Érthető minden?
0