Keresés


Toplista

Toplista
  • betöltés...

Magántanár kereső

Ha szívesen korrepetálnál, hozd létre magántanár profilodat itt.
Ha diák vagy és korrepetálásra van szükséged, akkor regisztrálj be és írd meg itt, hogy milyen tantárgyban!

Pénzügy

406
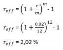
Három évre 200 000 Ft negyedévi lekötéssel, évi 2% kamatláb mellett mekkora az effektív kamatláb?
Jelenleg 1 felhasználó nézi ezt a kérdést.
0
Felsőoktatás / Pénzügy

Válaszok

1
Csatoltam képet.
0