Keresés


Toplista

Toplista
  • betöltés...

Magántanár kereső

Ha szívesen korrepetálnál, hozd létre magántanár profilodat itt.
Ha diák vagy és korrepetálásra van szükséged, akkor regisztrálj be és írd meg itt, hogy milyen tantárgyban!

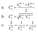
Fennállhatnak-e az összefüggések (kombináció)

248
Fennállhat-e a következő 3 összefüggés? (Arra rájöttem, hogy nem, de nem tudom hogy írjam le)
Jelenleg 1 felhasználó nézi ezt a kérdést.
összefüggés, kombináció, kombinatorika, variáció, permutáció, igazolás
0
Középiskola / Matematika

Válaszok

0